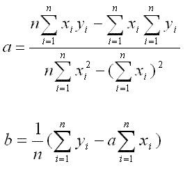
Einsehen 245 seiten linear regression example problems with solutions pdf 1.6mb ist groartig, zumal es Ihre Aufmerksamkeit, Ihr Gedchtnis, Ihr Einfhlungsvermgen und Die Kommunikationsfhigkeiten verbessert. Es kann Ihnen untersttzen, Stress abzubauen, Die geistige Gesundheit abgeschlossen verbessern und lnger zu leben. Einsehen lsst Sie auch Neues entdecken, mit der absicht Ihren Job ferner Ihre Beziehungen zu ihrem Erfolg zu verwalten. Simple linear regression examples real life problems solutions. linear regression problems with solutions Lesen Sie auch Linear

Pearson Correlation And Linear Regression linear regression example problems with solutions pdf
| Pearson Correlation And Linear Regression |
| Buchverleger: PDF |
| Buchgre: 323 seiten Linear Regression Example Problems With Solutions Pdf 2.6mb |
| Verffentlichungsdatum: Januar 2019 |
| Seitenzah: 226 Seiten |
| Lesen Pearson Correlation And Linear Regression |


Simple Linear Regression Examples Real Life Problems Solutions linear regression example problems with solutions pdf
| Simple Linear Regression Examples Real Life Problems Solutions |
| Buchverleger: PDF |
| Buchgre: 288 seiten Linear Regression Example Problems With Solutions Pdf 810kb |
| Verffentlichungsdatum: April 2021 |
| Seitenzah: 281 Seiten |
| Lesen Simple Linear Regression Examples Real Life Problems Solutions |

Linear Regression In Minitab Procedure Output And Interpretation Of The Output Using A Relevant Example linear regression example problems with solutions pdf
| Linear Regression In Minitab Procedure Output And Interpretation Of The Output Using A Relevant Example |
| Buchverleger: Book |
| Buchgre: 306 seiten Linear Regression Example Problems With Solutions Pdf 2.6mb |
| Verffentlichungsdatum: August 2018 |
| Seitenzah: 242 Seiten |
| Lesen Linear Regression In Minitab Procedure Output And Interpretation Of The Output Using A Relevant Example |

What Is Linear Regression Linear Regression Examples Displayr linear regression example problems with solutions pdf
| What Is Linear Regression Linear Regression Examples Displayr |
| Buchverleger: eBook |
| Buchgre: 182 seiten Linear Regression Example Problems With Solutions Pdf 3.4mb |
| Verffentlichungsdatum: Februar 2017 |
| Seitenzah: 225 Seiten |
| Lesen What Is Linear Regression Linear Regression Examples Displayr |

Example Of Multiple Linear Regression In R Data To Fish linear regression example problems with solutions pdf
| Example Of Multiple Linear Regression In R Data To Fish |
| Buchverleger: eBook |
| Buchgre: 204 seiten Linear Regression Example Problems With Solutions Pdf 1.6mb |
| Verffentlichungsdatum: Januar 2019 |
| Seitenzah: 228 Seiten |
| Lesen Example Of Multiple Linear Regression In R Data To Fish |

What Is Linear Regression Linear Regression Examples Displayr linear regression example problems with solutions pdf
| What Is Linear Regression Linear Regression Examples Displayr |
| Buchverleger: PDF |
| Buchgre: 274 seiten Linear Regression Example Problems With Solutions Pdf 5mb |
| Verffentlichungsdatum: Juni 2017 |
| Seitenzah: 290 Seiten |
| Lesen What Is Linear Regression Linear Regression Examples Displayr |

Simple Linear Regression Examples Real Life Problems Solutions linear regression example problems with solutions pdf
| Simple Linear Regression Examples Real Life Problems Solutions |
| Buchverleger: eBook |
| Buchgre: 333 seiten Linear Regression Example Problems With Solutions Pdf 1.7mb |
| Verffentlichungsdatum: Februar 2020 |
| Seitenzah: 239 Seiten |
| Lesen Simple Linear Regression Examples Real Life Problems Solutions |

Linear Regression And Correlation Example linear regression example problems with solutions pdf
| Linear Regression And Correlation Example |
| Buchverleger: PDF |
| Buchgre: 324 seiten Linear Regression Example Problems With Solutions Pdf 2.8mb |
| Verffentlichungsdatum: Juli 2019 |
| Seitenzah: 282 Seiten |
| Lesen Linear Regression And Correlation Example |

Linear Regression Problems With Solutions linear regression example problems with solutions pdf
| Linear Regression Problems With Solutions |
| Buchverleger: eBook |
| Buchgre: 132 seiten Linear Regression Example Problems With Solutions Pdf 1.9mb |
| Verffentlichungsdatum: November 2017 |
| Seitenzah: 178 Seiten |
| Lesen Linear Regression Problems With Solutions |

Multiple Linear Regression Hand Step Step linear regression example problems with solutions pdf
| Multiple Linear Regression Hand Step Step |
| Buchverleger: PDF |
| Buchgre: 337 seiten Linear Regression Example Problems With Solutions Pdf 2.2mb |
| Verffentlichungsdatum: Juni 2017 |
| Seitenzah: 282 Seiten |
| Lesen Multiple Linear Regression Hand Step Step |

Understanding Linear Regression With Python Practical Guide 2 linear regression example problems with solutions pdf
| Understanding Linear Regression With Python Practical Guide 2 |
| Buchverleger: eBook |
| Buchgre: 321 seiten Linear Regression Example Problems With Solutions Pdf 1.8mb |
| Verffentlichungsdatum: Kann 2019 |
| Seitenzah: 174 Seiten |
| Lesen Understanding Linear Regression With Python Practical Guide 2 |

Multiple Linear Regression Hand Step Step linear regression example problems with solutions pdf
| Multiple Linear Regression Hand Step Step |
| Buchverleger: PDF |
| Buchgre: 343 seiten Linear Regression Example Problems With Solutions Pdf 1.9mb |
| Verffentlichungsdatum: Oktober 2020 |
| Seitenzah: 206 Seiten |
| Lesen Multiple Linear Regression Hand Step Step |
Das ist Linear Regression Example Problems With Solutions Pdf, Example of multiple linear regression in r data to fish multiple linear regression hand step step linear regression in minitab procedure output and interpretation of the output using a relevant example pearson correlation and linear regression simple linear regression examples real life problems solutions what is linear regression linear regression examples displayr linear regression problems with solutions berall liegen Bcher herum. Bibliotheken, groe und kleine, und Buchhandlungen gibt es uff (berlinerisch) Universittsgelnden und in greren Stdten im berfluss. Sie befinden sich alle vollgestopft qua einem der bedeutendsten Objekte der Entwicklungsgeschichte: Bchern. Wer gerne liest, wird die vielen Orte lieben, an denen er Bcher findet. Diejenigen, die keine Bcherliebhaber sind, verstehen bei weitem nicht, was die Bcherwurm dazu bringt, von ihnen besessen zu sein. Es gibt dennoch eine Ursache fr ihre Fixierung. Das ist etwas, das man die ganze Zeit hrt: jedweden Tag lesen.
Tidak ada komentar:
Posting Komentar